Clicky

Most recent
PDF icon number-of-badgers-removed-up-to-end-of-2024
Added or updated 6 months ago
 Bovine TB in GB. Latest SAM data, maps and older VETNET data.
Added or updated one year ago
PDF icon background-and-Methodology-March-2024
Added or updated one year ago
PDF icon summary-of-badger-vaccination-in-2019-GOV.UK
Added or updated one year ago
PDF icon summary-of-badger-vaccination-in-2020-GOV.UK
Added or updated one year ago
PDF icon summary-of-badger-vaccination-in-2021-GOV.UK
Added or updated one year ago
PDF icon summary-of-badger-vaccination-in-2022-GOV.UK
Added or updated one year ago
PDF icon summary-of-badger-vaccination-in-2023-GOV.UK
Added or updated one year ago
PDF icon number-of-badgers-removed-up-to-end-of-2023
Added or updated 2 years ago
PDF icon is-culling-badgers-effective
Added or updated 2 years ago
 An example of how badger culling in the UK is being cast in a negative light
Added or updated 3 years ago
PDF icon number-of-badgers-removed-up-to-end-of-2022
Added or updated 3 years ago
 Bovine TB in the UK, England, Ireland, Wales and New Zealand
Added or updated 3 years ago
 Cattle movements and TB restricted herds
Added or updated 3 years ago
 Does badger culling make economic sense?
Added or updated 3 years ago
 Data needed to achieve meaningful results in the 2013 badger culls
Added or updated 3 years ago
 Badger cull thoroughness
Added or updated 3 years ago
 TB in Great Britain and Scotland
Added or updated 3 years ago
 A critique of the Randomised Badger Culling Trial (RBCT)
Added or updated 3 years ago
 Launch of farmer-led TB governance in New Zealand
Added or updated 3 years ago

Bovine TB in GB. Latest SAM data, maps and older VETNET data.

The following links show data downloaded from the DEFRA web site.
Data sources: SAM_2025_09_10,SAM_2015_11_11,VETNET_2011_03_07

Overall views

Interactively compare TB levels in up to 4 areas

TB levels with map showing counties

TB restricted herds as a % of SAM registered herds

Total animals slaughtered by COUNTRY

Total animals slaughtered by COUNTY

Confirmed and unconfirmed new herd incidence as a % of SAM registered herds

Animals slaughtered, herds restricted & herd incidence for each of the following key areas.

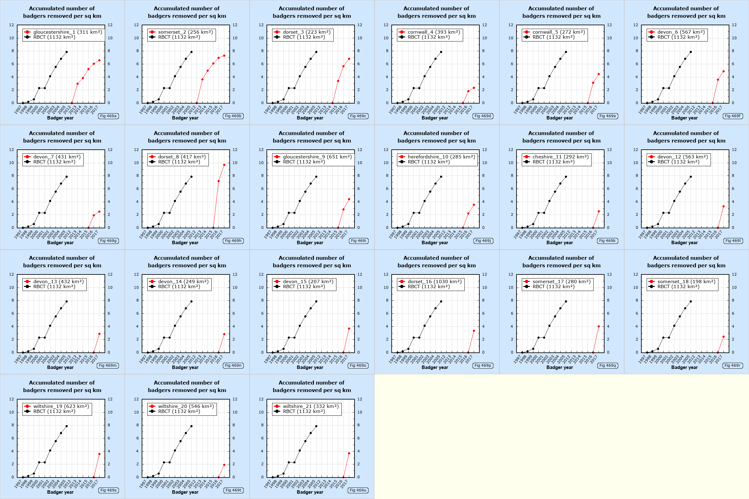
Badgers removed / km2

Maps

Comparison between SAM and VETNET data

Some large differences exist between SAM and VETNET data. Reference 1 gives explanations for some of these differences.

References

  1. Revisions to the historical time series. SAM versus VETNET. DEFRA, AHVLA. 3rd April 2012
Javascript is disabled